Filter Capacitor In Parallel

Ppt Surge Current In The Capacitor Filter Powerpoint

How Does This Power Supply Resistor Capacitor Divider

Solved 1 Design A First Order Rc Low Pass Filter With P


Capacitor Input Filter Calculation

A Bandstop Filter Using Parallel Inductor Capacitor Lc

Bypass Capacitor Vs Low Pass Filter Electrical Engineering

Seminar Assignments Lab 2 Bridge Rectifier And Rectifier

Proposed Passive Damping Methods A Series Damping Resistor

Filter Capacitor

Calculating Filter Capacitor For Smoothing Ripple Homemade

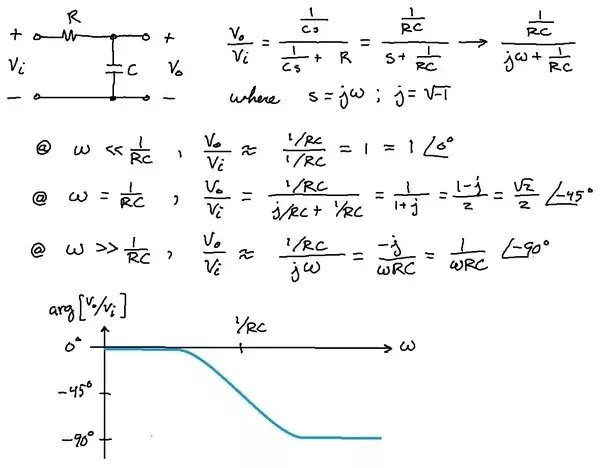
Why Does A Capacitor Cause A Phase Shift In An Rc Low Pass

Halfwave Rectifier With Capacitor Filter And Ripple Factor

Power Supplies Rectifier Circuits And Power Supply Filters

Capacitors In Parallel And Parallel Capacitor Circuits

Capacitors For Noise Filtering In Mini Quad Oscar Liang
Comments
Post a Comment